Wallpaper Bagus
Buatlah Surat Lamaran Pekerjaan Berdasarkan Iklan Lowongan Pekerjaan Berikut Pt Garuda Nusantara
folio bergaris contoh surat lamaran pekerjaan tulis tangan yang baik dan benar
contoh surat undangan ulang tahun menggunakan bahasa inggris beserta artinya
invitation contoh surat undangan resmi bahasa inggris
download surat kuasa perpanjang stnk motor
karyawan perusahaan karyawan contoh surat pengunduran diri kerja yang baik dan sopan
contoh surat undangan ulang tahun dalam bahasa inggris beserta artinya
karyawan resign kerja karyawan cara buat surat pengunduran diri
contoh surat undangan ulang tahun dalam bahasa inggris dan terjemahannya
Contoh Surat Lamaran Kerja Ke Penerbangan Airlines Surat Penerbangan Pendidikan
Contoh Surat Lamaran Kerja Berdasarkan Iklan Lowongan Di Koran
Buatlah Surat Lamaran Kerja Berdasarkan Iklan Lowongan Pekerjaan Dalam Surat Kabar Tabengan Tanggal Brainly Co Id
Contoh Surat Lamaran Kerja Swalayan Supermarket Mol Dan Toko Format Word Doc Surat Pimpinan Tulisan
31 Contoh Surat Lamaran Kerja Yg Baik Dan Benar Doc Word
10 Contoh Surat Lamaran Pekerjaan Yang Baik Dan Benar Lamaran Kerja
Bastrindo Sman 1 Praya Timur Juli 2019
Soal
Lowongan Kerja Wings Air Tahun 2018 Lowongan Kerja Terbaru Lulusan Sma D3 Dan S1 Semua Jurusan 2020
Latihan Soal Pas Bk Bahasa Indonesia Docx
Soal Pilihan Ganda Indo
Soal Materi Bab I Xii Part 1
Soal Soal Materi Surat Lamaran Pekerjaan
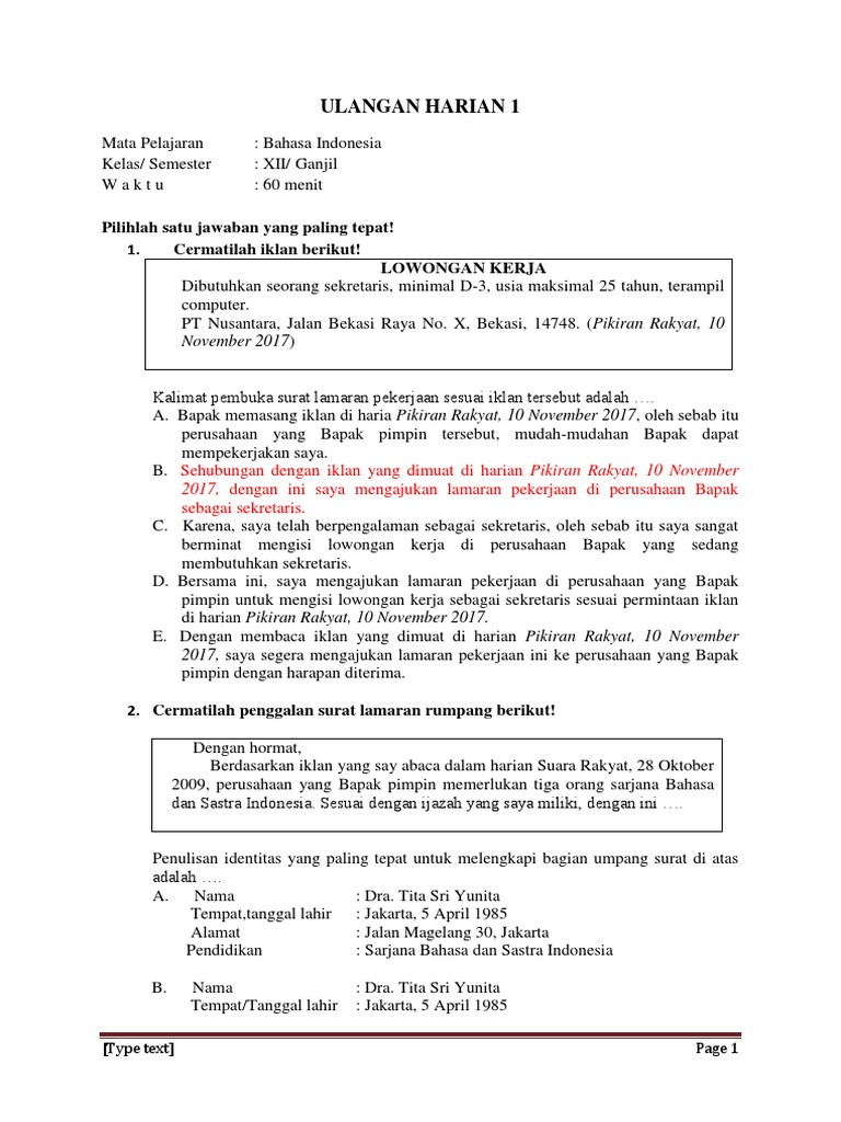
Ulangan Harian 1 Bin Xii
Soal Materi Bab I Xii 1 15
Bu Ririnpts B Indo Smk Xii 1920
A Identitas B Pembuka C Penutup D Isi E Lampiran Jawaban D 8 Cermati Iklan Course Hero
Kelengkapan Berkas Melamar Kerja Guru Ilmu Sosial
Cara Membuat Surat Lamaran Kerja Di Pt Pungkook Contoh Seputar Surat
15 Contoh Surat Lamaran Kerja Pramugari Paling Lengkap Beserta Penjelasannya Contoh Surat
Source :
pinterest.com
Random Posts
Surat Lamaran Kerja Pt Tulis Tangan Yang Benar
Surat Lamaran Kerja Yang Baik Dan Benar 2020
Surat Lamaran Pekerjaan Dalam Bahasa Inggris Yang Benar
Surat Lamaran Pekerjaan Dalam Bahasa Inggris Beserta Iklannya
Surat Lamaran Kerja Di Pabrik Sepatu Jepara
Surat Lamaran Kerja Dinas Kesehatan
Surat Lamaran Kerja Pabrik Garment Tulis Tangan
Surat Lamaran Kerja Di Toko Ponsel
Surat Lamaran Kerja Dalam Bahasa Inggris Beserta Artinya Singkat
Surat Lamaran Kerja Dalam Bahasa Inggris Dan Terjemahannya
Surat Lamaran Kerja Pt Yamaha Karawang
Surat Lamaran Kerja Pt Kai Dalam Bahasa Inggris
Surat Lamaran Kerja Di Pabrik Rokok
Surat Lamaran Pekerjaan Bahasa Inggris Dan Terjemahannya
Surat Lamaran Kerja Dalam Bahasa Inggris Dan Terjemahannya Singkat
Surat Lamaran Kerja Guru Dalam Bahasa Inggris Beserta Artinya
Surat Lamaran Kerja Di Pt
Surat Lamaran Pekerjaan Berdasarkan Iklan
Surat Lamaran Pekerjaan Berdasarkan Iklan Lowongan Pekerjaan Dalam Bahasa Inggris
Surat Lamaran Kerja Di Toko